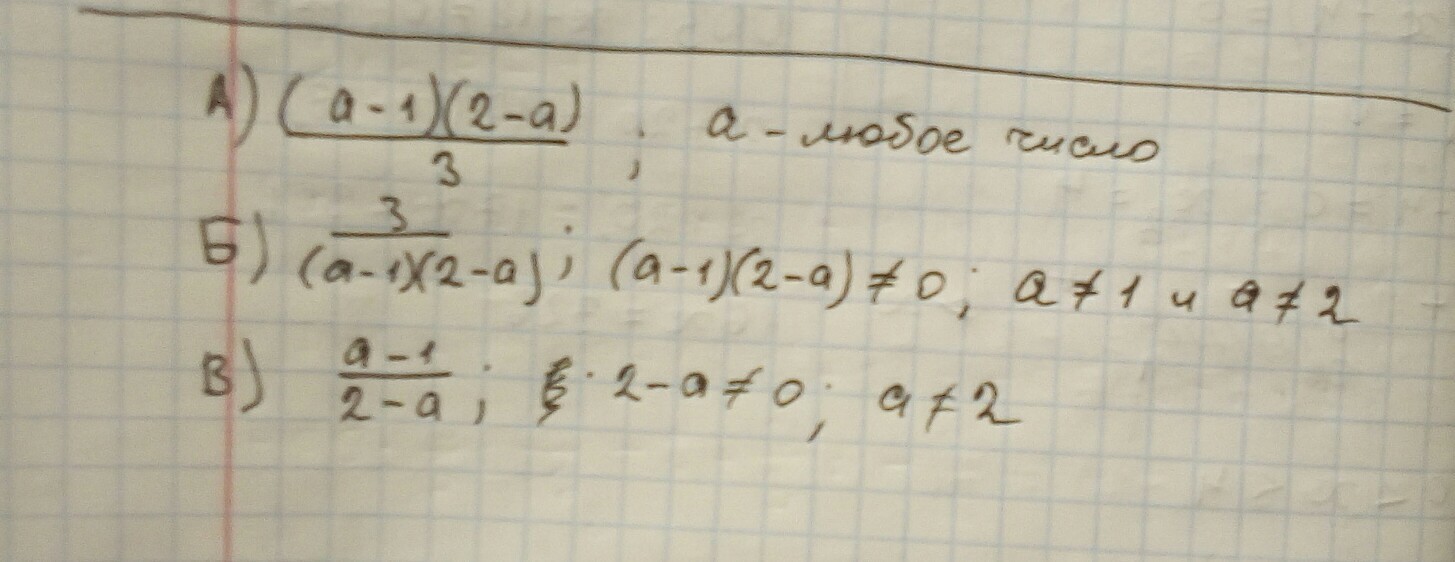
Соотнесите каждое выражение с множеством значений переменной, при которых оно имеет смысл.
А) (a-1)(2-a)/3 Б) 3/(a-1)(2-a) В) (a-1)/(2-a)
1) a≠1 2) a≠2 3) a≠1 и a≠2 4) a-любое число
Ответы
Ответ дал:
0
а-4; б-3; в-2. см. фото
Приложения:

Ответ дал:
0
У меня завтра по алгебре контрольная поможешь?
Ответ дал:
0
как найти тебя в вк?
Ответ дал:
0
ответь пожалуйста
Ответ дал:
0
ауууу
Вас заинтересует
2 года назад
2 года назад
3 года назад
3 года назад
9 лет назад
9 лет назад
10 лет назад