• Предмет: Алгебра
  • Автор: viculichka
  • Вопрос задан 11 лет назад

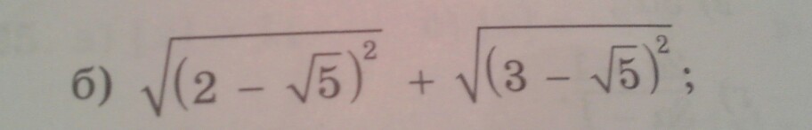
Упростите выражение:

Приложения:

Ответы

Ответ дал: NNNLLL54
0
.....=|2-sqrt5|+|3-sqrt5|=-2+sqrt5+3-sqrt5=1
Вас заинтересует