Ответы
Ответ дал:
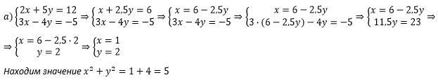
0
Сам видимо учиться не хочешь.
Приложения:

Вас заинтересует
2 года назад
3 года назад
9 лет назад
10 лет назад