Ответы
Ответ дал:
0
Тебе нужно вычислить площадь фигуры, прикреплённой к ответу.
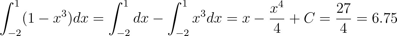
Это не треугольник, ни в коем случае. Использовать придётся интеграл, ведь площадь под кривой ты никакими другими способами найти не сможешь.
Это не треугольник, ни в коем случае. Использовать придётся интеграл, ведь площадь под кривой ты никакими другими способами найти не сможешь.
Приложения:


Ответ дал:
0
Большое спасибо!
Вас заинтересует
2 года назад
3 года назад
3 года назад
9 лет назад
9 лет назад