Ответы
Ответ дал:
0
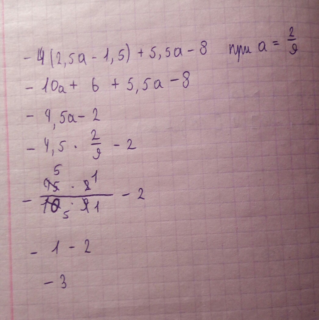
надеюсь подчерк понятен
Приложения:

Ответ дал:
0
спс))
Вас заинтересует
2 года назад
2 года назад
3 года назад
3 года назад
10 лет назад