• Предмет: Алгебра
  • Автор: DianaFedylova
  • Вопрос задан 9 лет назад

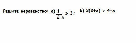
Алгебра.
Решите пожалуйста! :)

Приложения:

Ответы

Ответ дал: НРомаН2001
0
а)1/2х>3=х>6
б)3(2+х)>4-х=6+3х>4-х=3х+х>4-6=4х>-2=х>-1/2
Вас заинтересует