• Предмет: Математика
  • Автор: VictoriaK11
  • Вопрос задан 9 лет назад

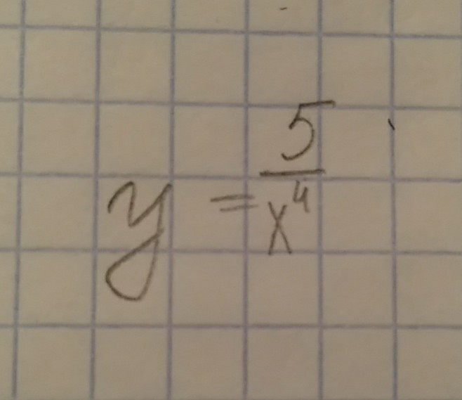
Помогите, пожалуйста, найти производную
заранее спасибо

Приложения:

Ответы

Ответ дал: Alexаndr
0
y'=frac{5}{x^4}'=(5*x^{-4})'=-20x^{-5}=-frac{20}{x^5}
Ответ дал: VictoriaK11
0
Это по формуле? Если да, то по какой?
Ответ дал: Alexаndr
0
a(x^n)'=a(n*x^(n-1))
Вас заинтересует