• Предмет: Математика
  • Автор: Gambit11111
  • Вопрос задан 9 лет назад

Пожалуйста решите уравнения )))

Приложения:

Ответы

Ответ дал: alenachadina20alenka
0
Это 1. Второе будет чуть позже внизу. Второе добавила
Приложения:
Ответ дал: alenachadina20alenka
0
Напиши,что получил
Ответ дал: Gambit11111
0
Просто у меня в четверти 2 выходит по алгебре и учительница сказала решишь поставлю 3
Ответ дал: Gambit11111
0
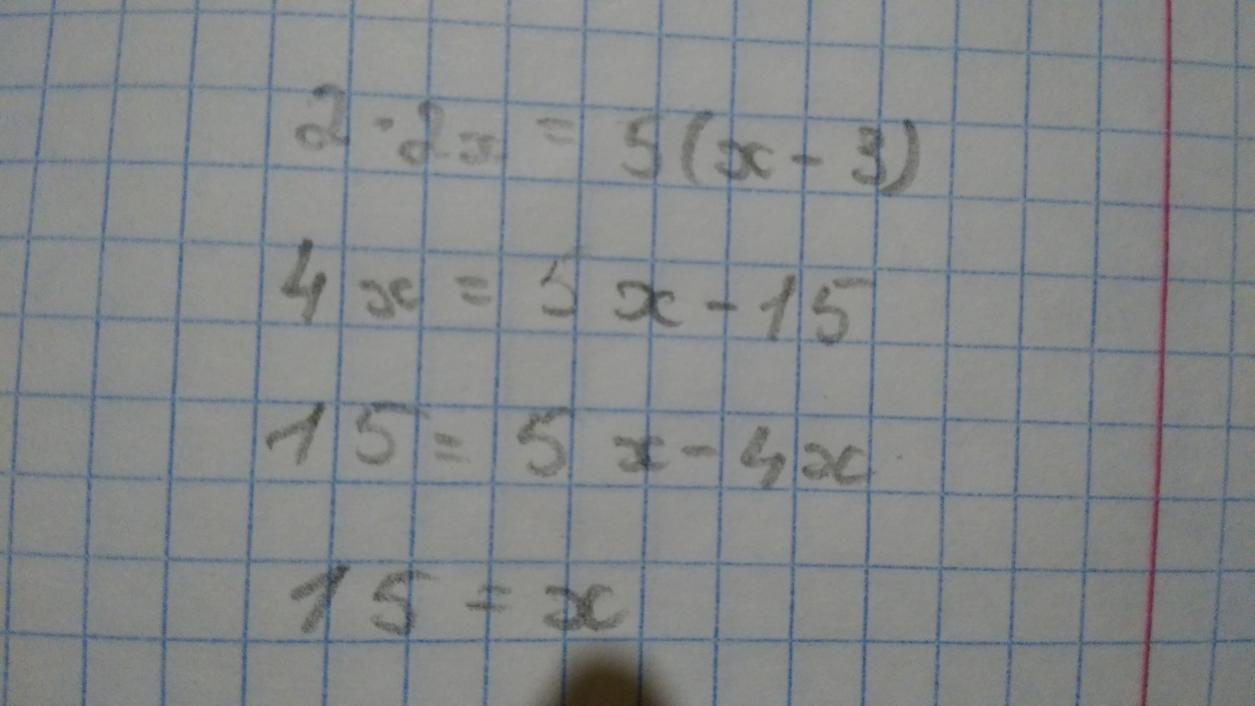
А это полный ответ 15=х?
Ответ дал: alenachadina20alenka
0
Да(если ты про первое уравнение)
Ответ дал: Gambit11111
0
Спасибо
Вас заинтересует