Ответы
Ответ дал:
0
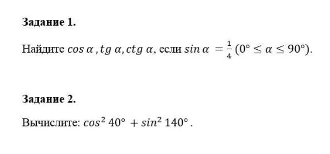
1) a - Альфа
а принадлежит 1 четверти→косинус "+"
cosa=✓(1-sin²a)
cosa=✓(1-1/16)=✓(15/16)=✓15 /4
tga=sina/cosa
tga=¼ : (✓15 /4)=✓15 /15
ctga=1/tga
ctga=1:✓15/15=✓15
2) cos 40°= cos (90°-50°)=sin50°
sin140°=sin(90°+50°)=cos50°
Тогда получаем
cos²40°+sin²140°=sin²50°+cos²50°=1 (по основному тригонометрическому тождеству)
а принадлежит 1 четверти→косинус "+"
cosa=✓(1-sin²a)
cosa=✓(1-1/16)=✓(15/16)=✓15 /4
tga=sina/cosa
tga=¼ : (✓15 /4)=✓15 /15
ctga=1/tga
ctga=1:✓15/15=✓15
2) cos 40°= cos (90°-50°)=sin50°
sin140°=sin(90°+50°)=cos50°
Тогда получаем
cos²40°+sin²140°=sin²50°+cos²50°=1 (по основному тригонометрическому тождеству)
Ответ дал:
0
спасибо! Огромное
Ответ дал:
0
Пожалуйста
Вас заинтересует
2 года назад
2 года назад
3 года назад
3 года назад
9 лет назад
9 лет назад
10 лет назад