• Предмет: Алгебра
  • Автор: alinadementey
  • Вопрос задан 9 лет назад

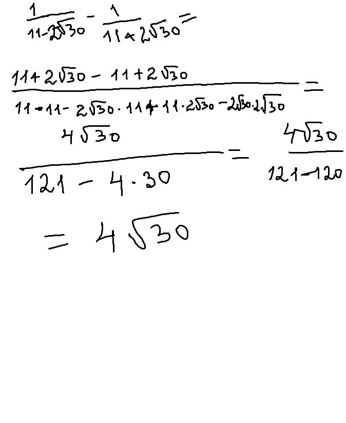
Пожалуйста решите по алгебре(только с понятиями)
Нужно Найти значение выражения:
Дам много баллов

Приложения:

Ответы

Ответ дал: alkalash
0
написала в картинке простите что наклонно)
Приложения:
Вас заинтересует