• Предмет: Алгебра
  • Автор: BlackShine
  • Вопрос задан 11 лет назад

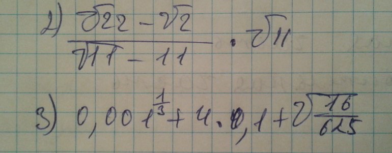
Помогите решить

Примеры во вложении



Приложения:

Ответы

Ответ дал: Artem112
0
 frac{ sqrt{22}- sqrt{2}  }{ sqrt{11}-11 }cdot sqrt{11} =
 frac{sqrt{2} ( sqrt{11}- 1)  }{ -sqrt{11}( sqrt{11}-1) }cdot sqrt{11} =
 frac{sqrt{2}   }{ -sqrt{11} }cdot sqrt{11} =- sqrt{2}
0,001^{ frac{1}{3} }+4cdot0.1 sqrt{  frac{16}{625}  } =0,1+0.4cdot frac{4}{25}   =0,1+0.064=0.164
Вас заинтересует