• Предмет: Алгебра
  • Автор: ffhdsgzss
  • Вопрос задан 9 лет назад

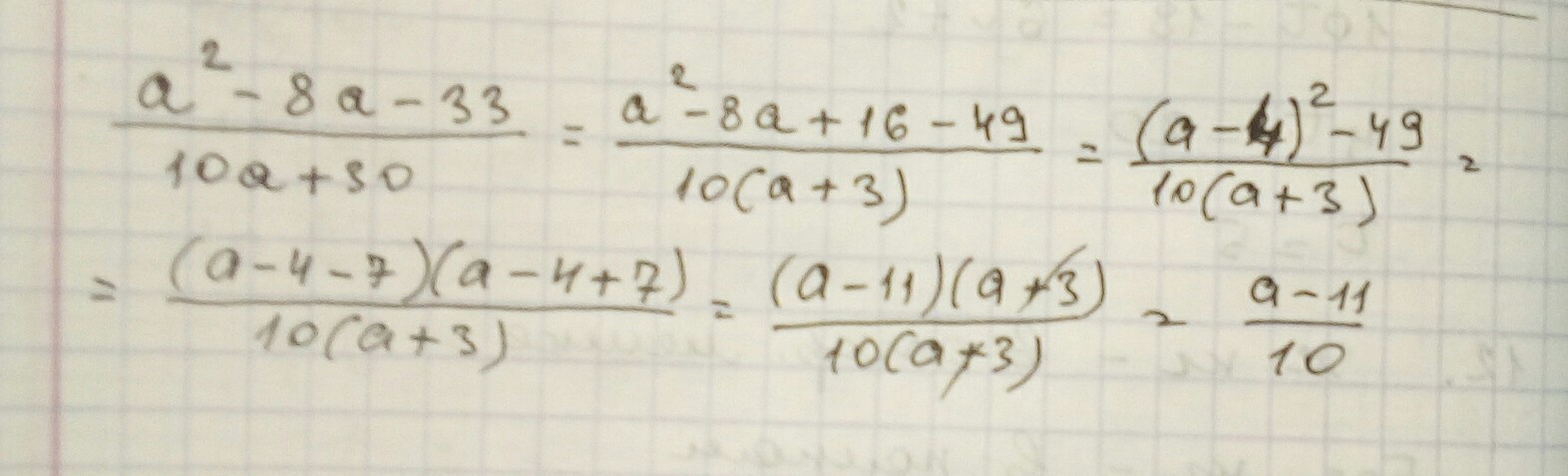
Сократите дробь ...............

Приложения:

Ответы

Ответ дал: ВикаВикторовна
0
см. фото. ........... ..........
Приложения:
Вас заинтересует