• Предмет: Алгебра
  • Автор: ДашаУмничкааоо
  • Вопрос задан 9 лет назад

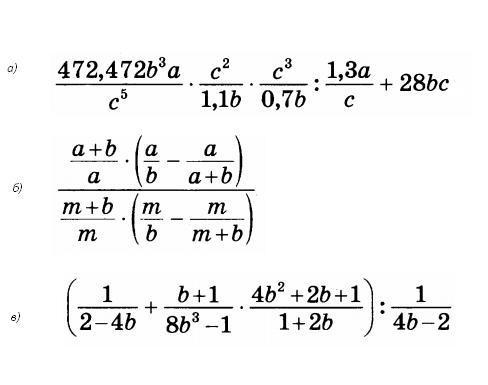
Выполнить действие с алгебраическими дробями
И письменное решение, большая просьба, решать по действиям, и с полным письменным решением пж! Выручите меняяя

Подробнее в документе

Приложения:

Ответа на этот вопрос пока нет. Попробуйте найти его через форму поиска.

Вас заинтересует