Ответы
Ответ дал:
0
Решение в прикрепленном файле.
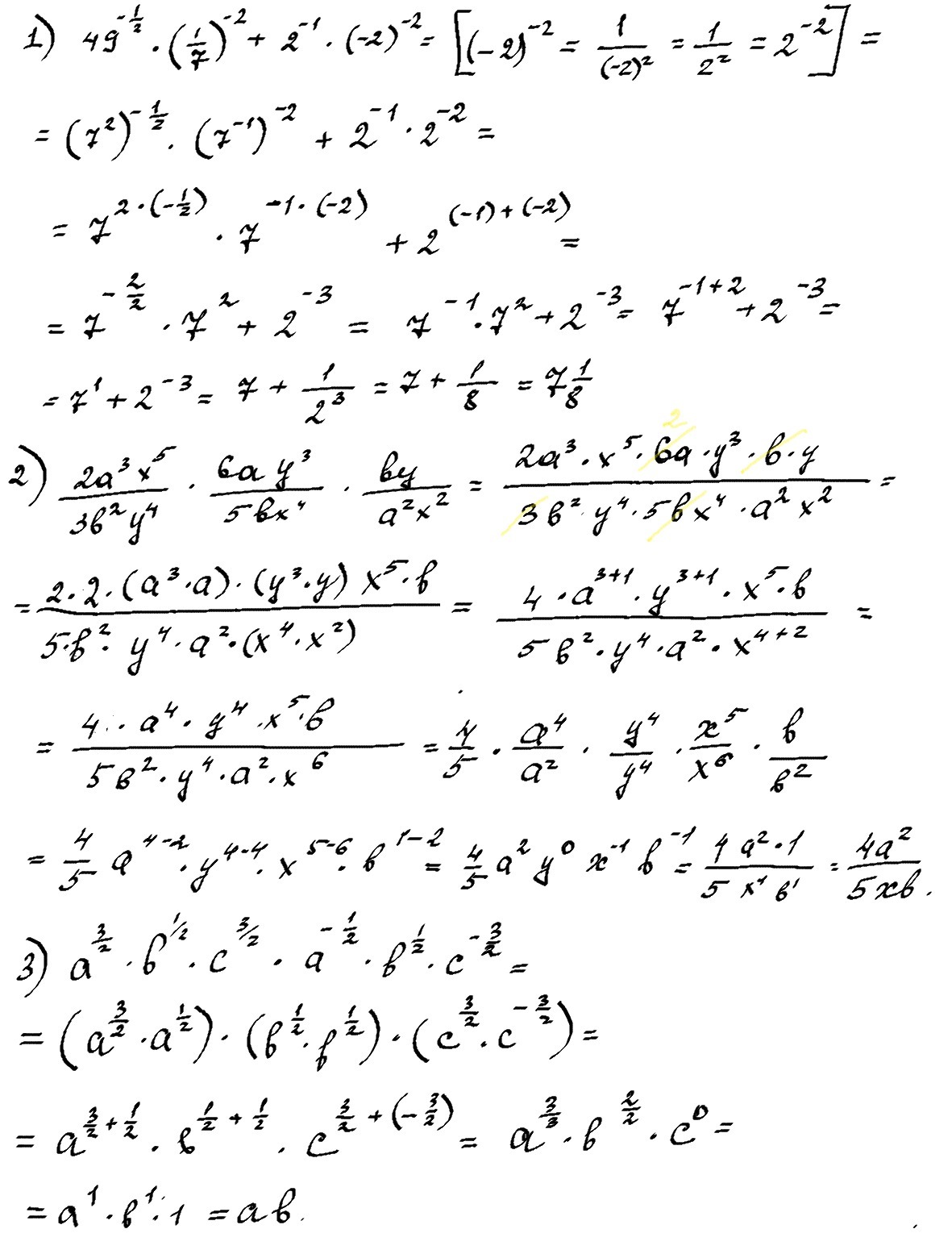
В квадратных скобках пояснение почему исчезает минус у двойки.
В квадратных скобках пояснение почему исчезает минус у двойки.
Приложения:

Вас заинтересует
2 года назад
3 года назад
3 года назад
9 лет назад
9 лет назад
10 лет назад