• Предмет: Химия
  • Автор: popova01polina12
  • Вопрос задан 9 лет назад

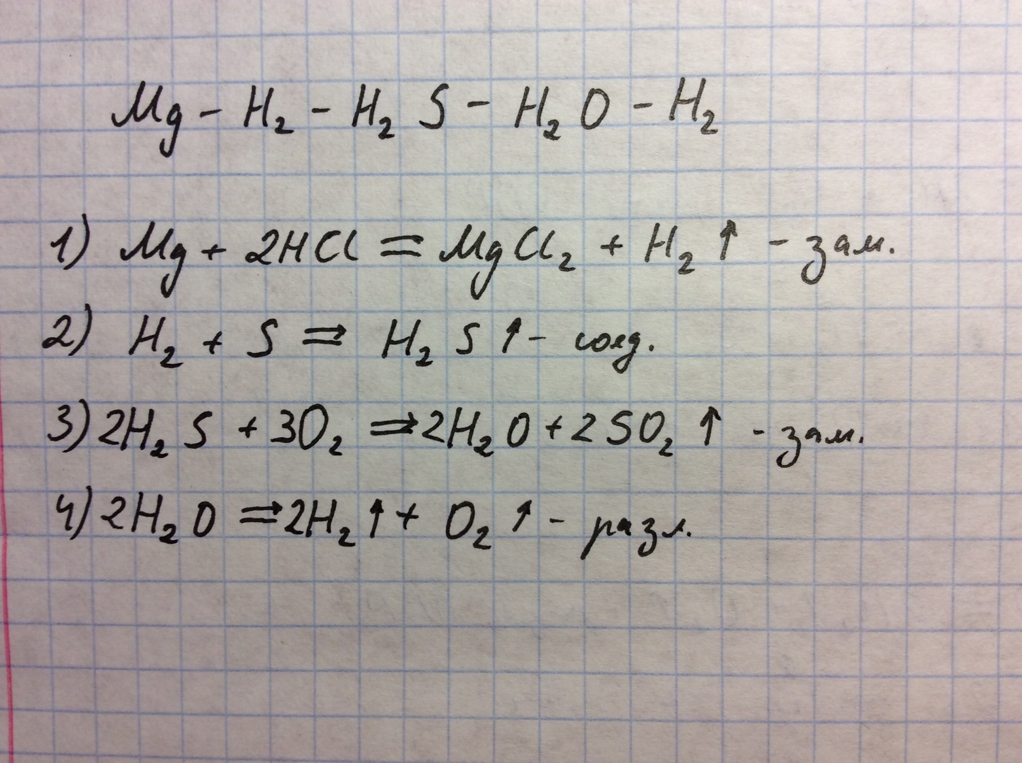
Напишите уравнение химической реакции по схеме:
Mg-H2-H2S-H2O-H2
СРОЧНОО!!!

Ответы

Ответ дал: Renny2003
0
Надеюсь,почерк понятен)
Приложения:
Ответ дал: popova01polina12
0
Спасибо
Вас заинтересует