• Предмет: Математика
  • Автор: Рубин121
  • Вопрос задан 9 лет назад

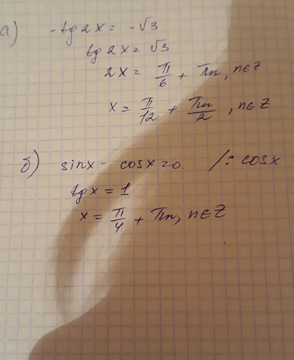
помогите решить уравнение срочно!

Приложения:

Ответы

Ответ дал: aminabrrrr1
0
воооооооооооотссссссс
Приложения:
Ответ дал: aminabrrrr1
0
в первом будет п/6 + пn/2
Ответ дал: aminabrrrr1
0
ошиблась с углом
Ответ дал: хосеигнасио
0
tg2x=√3
2x=п/3 +пn 
x=п/6 +пn/2
Приложения:
Вас заинтересует