• Предмет: Математика
  • Автор: Аноним
  • Вопрос задан 11 лет назад

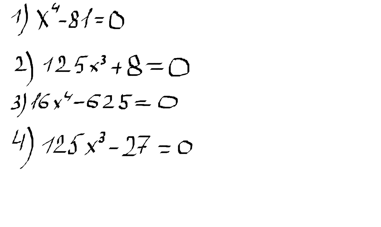
решите двучленное уравнение



(ПОМОГИТЕ ПЛИЗЗЗЗЗЗЗЗЗЗЗ)

Приложения:

Ответа на этот вопрос пока нет. Попробуйте найти его через форму поиска.

Вас заинтересует