СРОЧНОООООООООООООООО упростите выражения (если после буквы идет сразу цифра то это степень)
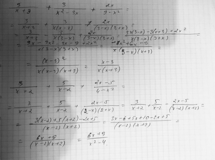
3/х+3 + 3/х2-3х + 2х/9-х2=
3/х+2 +5/х-2 + 2х-5/4-х2=
Ответы
Ответ дал:
0
Прилагаю фото с решением
Приложения:
Вас заинтересует
2 года назад
2 года назад
3 года назад
3 года назад
10 лет назад
10 лет назад
10 лет назад