• Предмет: Алгебра
  • Автор: gazievb4
  • Вопрос задан 9 лет назад

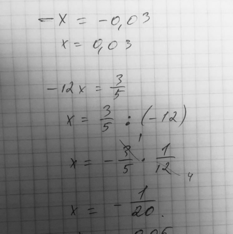
Пожалуйста срочно помогите решить
-x=-0,03 и
-12x=3/5

Ответы

Ответ дал: nonzero
0
Прилагаю фото с решением
Приложения:
Вас заинтересует