• Предмет: Алгебра
  • Автор: Шанишка
  • Вопрос задан 9 лет назад

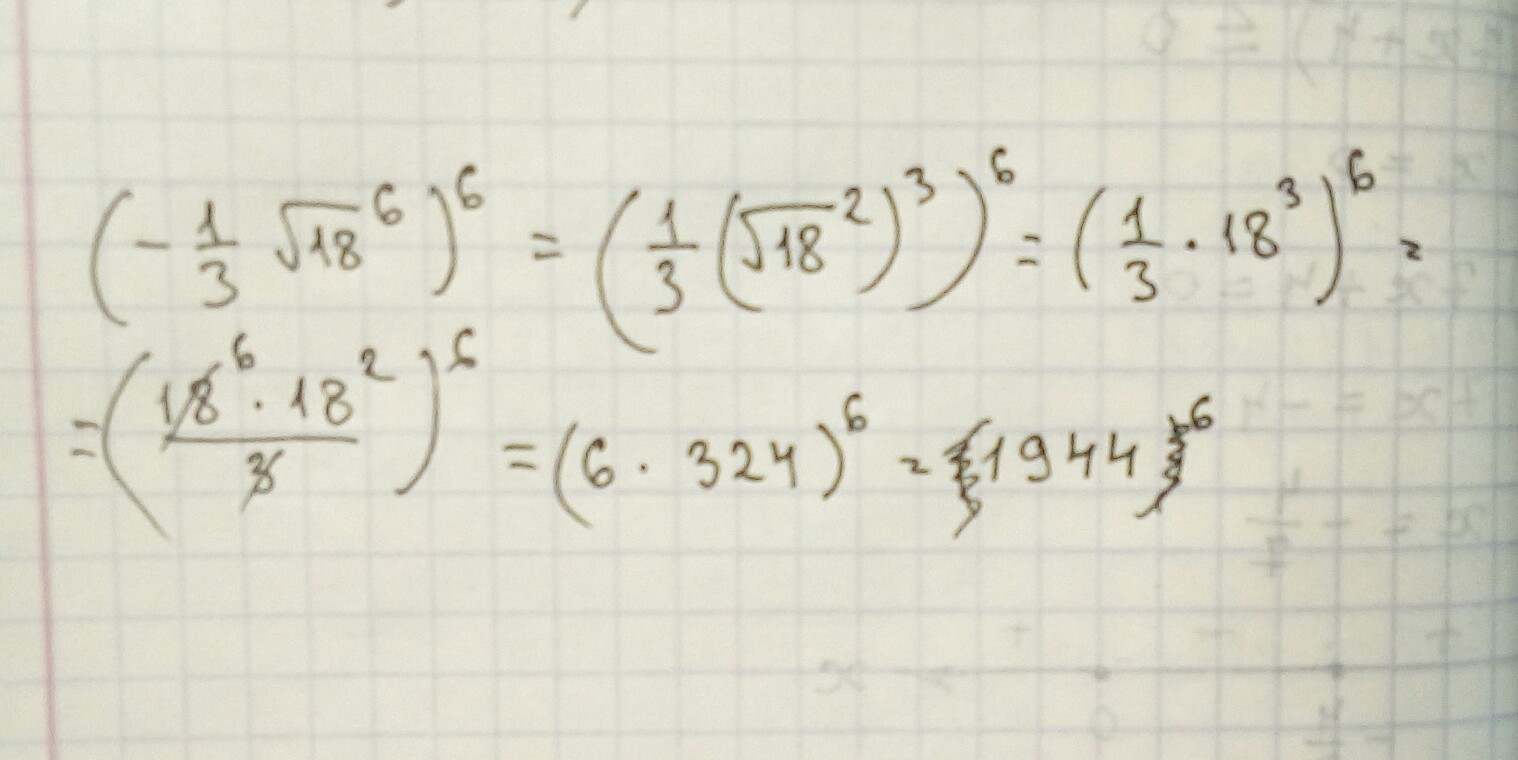
Решить : (-1/3*^6√18)^6
Если непонятно записала задание,могу сказать так:
(-1/3 умножить на корень из 18 в 6 степени ) в шестой степени

Ответы

Ответ дал: ВикаВикторовна
0
1944^6........ бредятина вышла
Приложения:
Вас заинтересует