Решите любые номера. Задания во вложениях. Только пожалуйста, присылайте решения, а не просто выбирайте ответ.
Приложения:
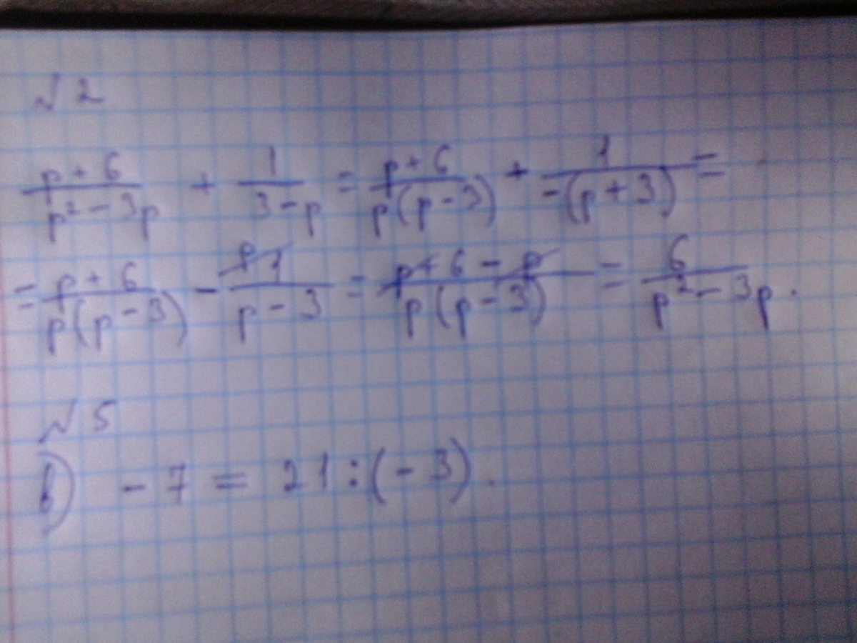
Ответы
Ответ дал:
0
___________
решил 2, 3, 4 и 5
___________
решил 2, 3, 4 и 5
___________
Приложения:
Вас заинтересует
3 года назад
3 года назад
8 лет назад
8 лет назад
11 лет назад
11 лет назад
11 лет назад