Ответы
Ответ дал:
0
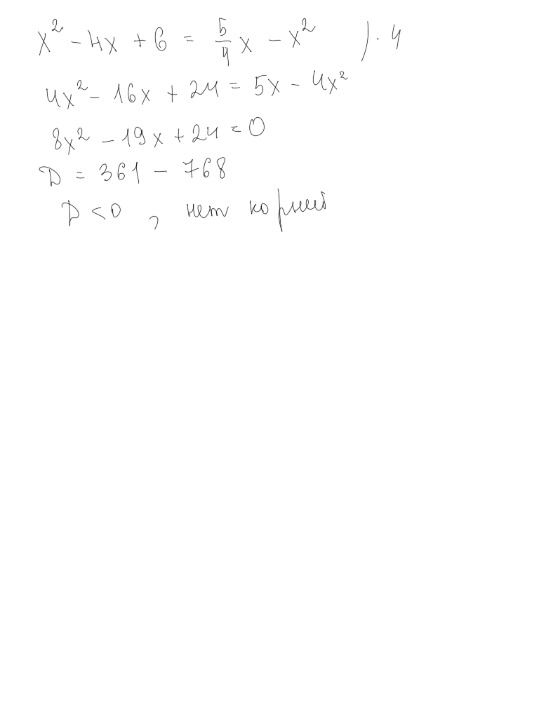
проверь, правильно ли ты записал уравнение, ибо дискриминант отрицательный получается
Приложения:

Вас заинтересует
2 года назад
3 года назад
9 лет назад
9 лет назад
10 лет назад