• Предмет: Алгебра
  • Автор: tdshulgina
  • Вопрос задан 9 лет назад

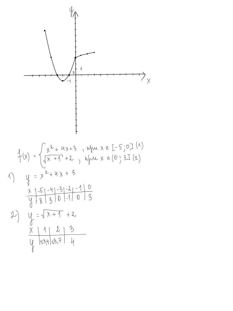
Начертите график функции
и исследуйте его (можно только начертить)

Приложения:

Ответы

Ответ дал: umarikaneko
0
первое проще всего просто подставить, а во второй части функции получается ветвь со смещением на 2 вверх и на 1 влево, но т.к. у нас получается какой-то обрубок, то тоже проще подставить
Приложения:
Ответ дал: tdshulgina
0
Спасибо огромное)
Вас заинтересует