• Предмет: Алгебра
  • Автор: Изоабэлла
  • Вопрос задан 9 лет назад

Решить систему уравнений, олимпиадный уровень

Приложения:

Ответы

Ответ дал: Denik777
0
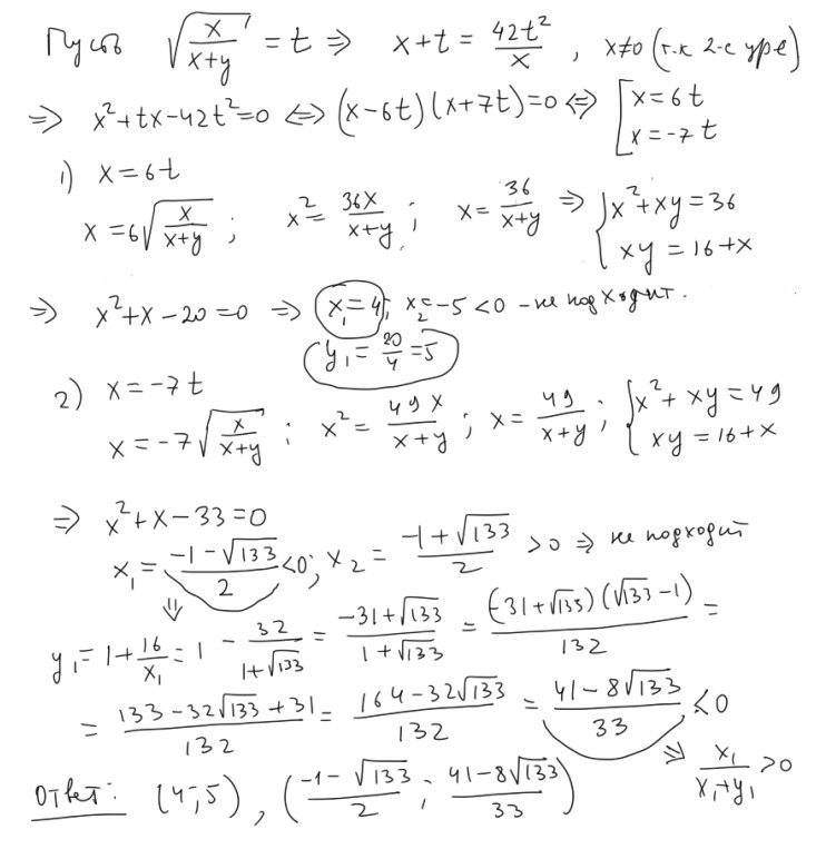
Решение прицеплено в картинке.
Приложения:
Ответ дал: oganesbagoyan
0
x|x+y| +√x(x+y)=42
Ответ дал: oganesbagoyan
0
нет, x|x+y| +√x(x+y)= ± 42
Вас заинтересует