• Предмет: Алгебра
  • Автор: maistrenko1
  • Вопрос задан 9 лет назад

помогите пожалуйста 4 и 5 задание. даю 30 баллов. кто не знает украинский вот перевод :
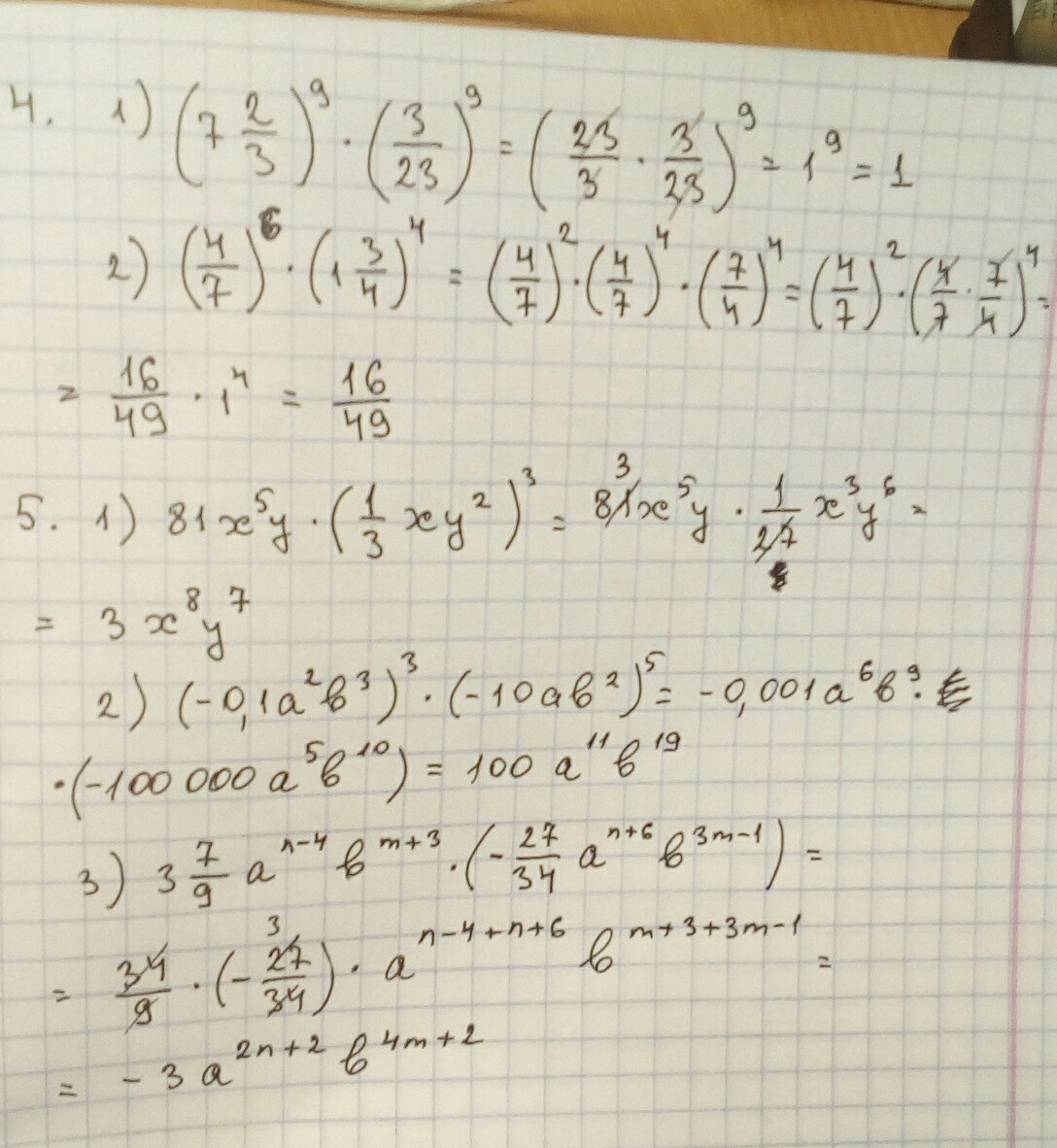
4 вычислите
5 упростите выражение

Приложения:

Ответы

Ответ дал: ВикаВикторовна
0
см. фото..............,..
Приложения:
Ответ дал: maistrenko1
0
спасибо большое)))
Ответ дал: ВикаВикторовна
0
успехов!)
Вас заинтересует