• Предмет: Математика
  • Автор: Benthas
  • Вопрос задан 9 лет назад

СРОЧНО!! ПОМОГИТЕ, ПРОШУ
Найдите значение выражения при a=√11, b=√7

Приложения:

Ответы

Ответ дал: best98
0
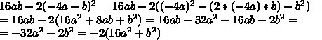
При a=√11, b=√7
Вот это решение расписано полностью.
Приложения:
Вас заинтересует