• Предмет: Математика
  • Автор: ddaet
  • Вопрос задан 9 лет назад

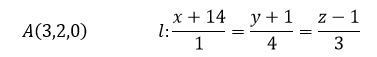
Найти точку, симметричную точке A относительно прямой l

Приложения:

Ответы

Ответ дал: Аноним
0

Ответ: A'=bigg(-dfrac{388}{13};dfrac{8}{13};dfrac{71}{13}bigg)


Пошаговое объяснение:

Уравнение плоскости, перпендикулярной прямой:

A(x-x_0)+B(y-y_0)+C(z-z_0)=0

(A;B;C) - направляющий вектор. (x_0;y_0;z_0) - координаты точки А

Подставим

1(x-3)+4(y-2)+3(z-0)=0\x-3+4y-8+3z=0\ x+4y+3z-11=0~~~~~~~~(star)


Прямую l представим в параметрической форме

dfrac{x+14}{1}=dfrac{y+1}{4}=dfrac{z-1}{3}=t~~Leftrightarrow~~begin{cases}&text{}x=t-14\&text{}y=4t-1\&text{}z=3t+1end{cases}

Найдем точки пересечения прямой и плоскости (в параметрической форме уже выражены через x,y,z, тогда поставляем в (star) )


t-14+4(4t-1)+3(3t+1)=0\ t-14+16t-4+9t+3=0\26t=15\ t=dfrac{15}{26}


Координаты точки пересечения: A_0bigg(dfrac{15}{26}-14;4cdotdfrac{15}{26}-1;3cdotdfrac{15}{26}+1bigg);~~~A_0bigg(-dfrac{349}{26};dfrac{17}{13};dfrac{71}{26}bigg)

Известная точка А и искомая точка А', лежат на этой прямой, симметрично точке пересечения двух прямых A₀ (эта точка делит отрезок AA' пополам). Координаты центра отрезка точки A₀ :


x_{A_0}=dfrac{x_A+x_{A'}}{2}~~Rightarrow~~ x_{A'}=2x_{A_0}-x_A=2cdotbigg(-dfrac{349}{26}bigg)-3=-dfrac{388}{13}\ \ y_{A_0}=dfrac{y_A+y_{A'}}{2}~~Rightarrow~~ y_{A'}=2y_{A_0}-y_A=2cdotdfrac{17}{13}-2=dfrac{8}{13}\ \ z_{A_0}=dfrac{z_A+z_{A'}}{2}~~Rightarrow~~ z_{A'}=2z_{A_0}-z_A=2cdotdfrac{71}{26}-0=dfrac{71}{13}



A'=bigg(-dfrac{388}{13};dfrac{8}{13};dfrac{71}{13}bigg) — искомая точка

Вас заинтересует