Ответы
Ответ дал:
0
I hope this helps you
Приложения:

Ответ дал:
0
Sin^4x + Cos^4x никак не может равняться отрицательному числу
Ответ дал:
0
aa i did a mistake thanks :)
Ответ дал:
0
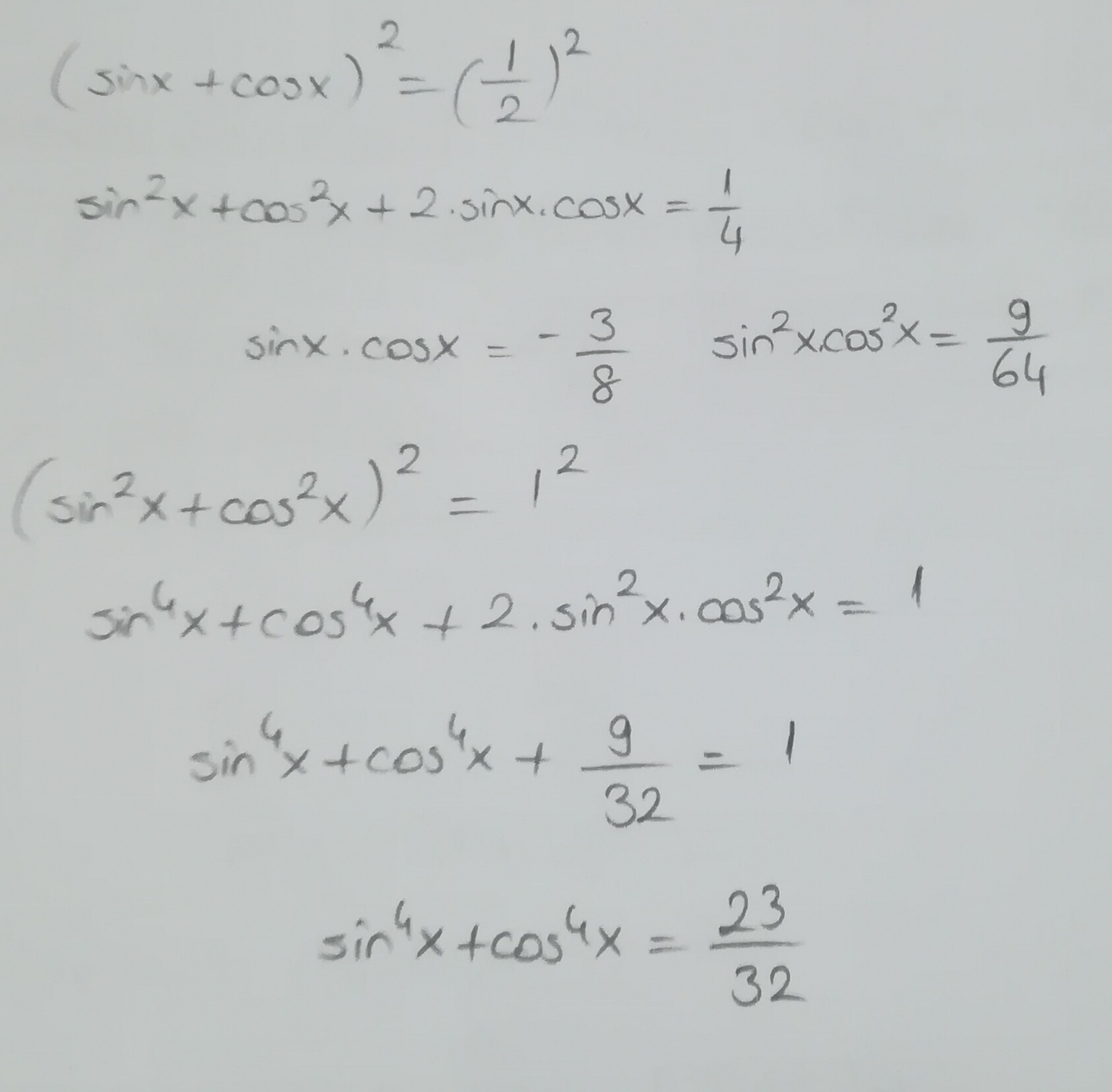
(Sinx + Cosx)² = (1/2)²
Sin²x + 2SinxCosx + Cos²x = 1/4
1 + 2SinxCosx = 1/4
2SinxCosx = - 3/4
4Sin²xCos²x = 9/16
2sin²xCos²x = 9/32
(Sin²x + Cos²x)² = Sin⁴x + 2Sin²xCos²x + Cos⁴x
1 = Sin⁴x + 2Sin²xCos²x + Cos⁴x
Sin⁴x + Cos⁴x = 1 - 9/32
Sin⁴x + Cos⁴x = 23/32
Sin²x + 2SinxCosx + Cos²x = 1/4
1 + 2SinxCosx = 1/4
2SinxCosx = - 3/4
4Sin²xCos²x = 9/16
2sin²xCos²x = 9/32
(Sin²x + Cos²x)² = Sin⁴x + 2Sin²xCos²x + Cos⁴x
1 = Sin⁴x + 2Sin²xCos²x + Cos⁴x
Sin⁴x + Cos⁴x = 1 - 9/32
Sin⁴x + Cos⁴x = 23/32
Приложения:

Вас заинтересует
2 года назад
3 года назад
9 лет назад
9 лет назад
10 лет назад