• Предмет: Алгебра
  • Автор: Dимасuk
  • Вопрос задан 9 лет назад

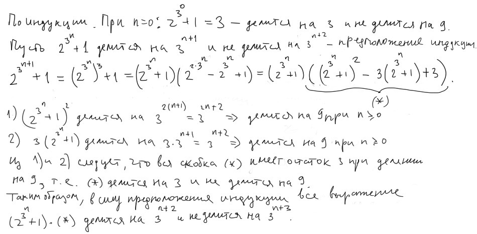
Докажите, что (2^{3^{n}} + 1) кратно 3^{n + 1} и не кратно 3^{n + 2}

Ответы

Ответ дал: Denik777
0
Решение прицеплено в картинке.
Приложения:
Вас заинтересует