• Предмет: Математика
  • Автор: antohka022002
  • Вопрос задан 9 лет назад

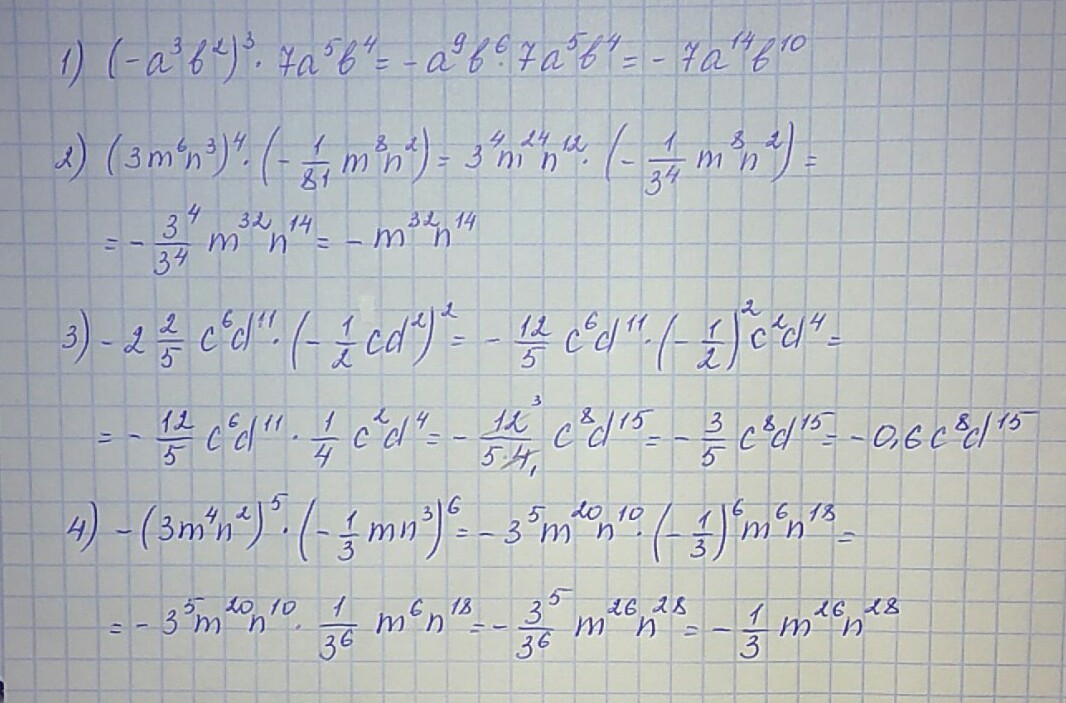
Упростите выражения

Приложения:

Ответы

Ответ дал: anna2501v
0
Ответы и решение на фото
Приложения:
Вас заинтересует