• Предмет: Алгебра
  • Автор: johnsmith03
  • Вопрос задан 9 лет назад

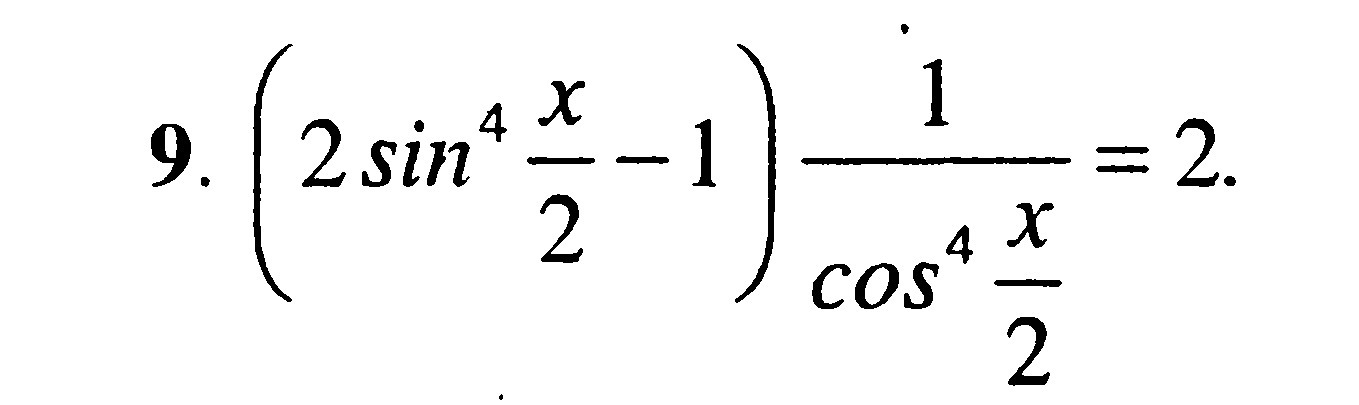
Помогите с решением уравнения.

Приложения:

Ответа на этот вопрос пока нет. Попробуйте найти его через форму поиска.

Вас заинтересует