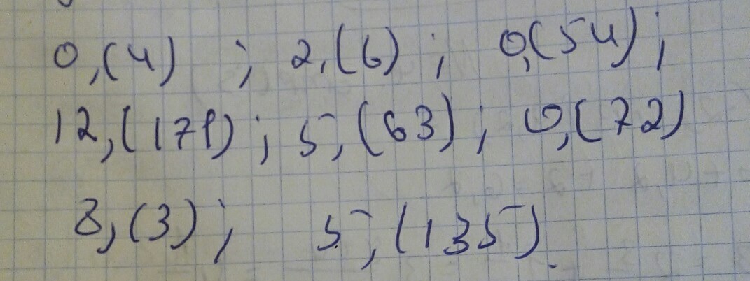
представьте чисто-преодические дроби в виде обыкнавенной дроби.
пажалуста помогите! щяс надо помочь!!
Приложения:

Ответа на этот вопрос пока нет. Попробуйте найти его через форму поиска.
Вас заинтересует
3 года назад
9 лет назад
9 лет назад
10 лет назад