• Предмет: Алгебра
  • Автор: Ромашка851
  • Вопрос задан 9 лет назад

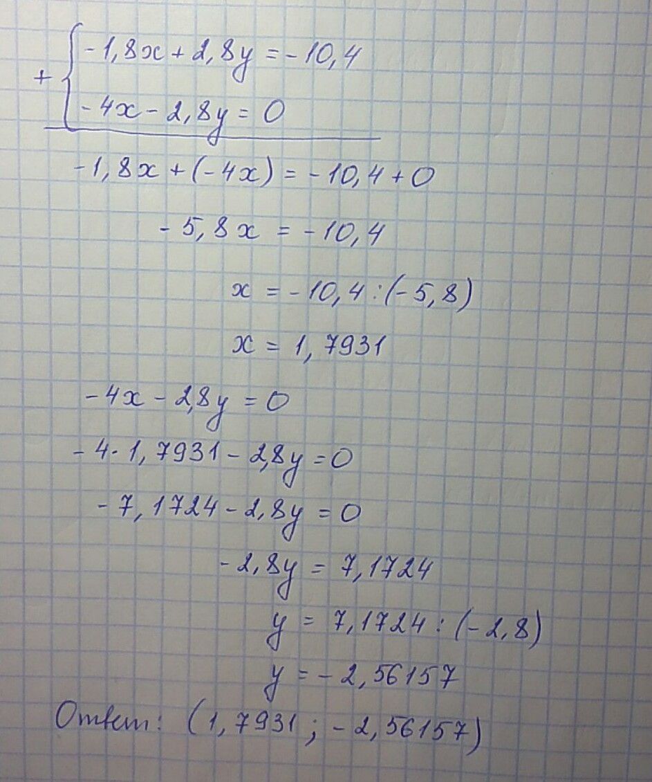
Решите систему уравнений, пожалуйста.
-1,8x+2,8y=-10,4
-4x-2,8y=0

Ответы

Ответ дал: anna2501v
0
Ответ и решение на фото
Приложения:
Ответ дал: лиззка14
0
Я я вас Прошу помогите решить геометрию
Вас заинтересует