Помогите! ОЧЕНЬ СРОЧНО!!!!!!!!!!!! АЛГЕБРА 7 КЛАСС
Выполните умножение:
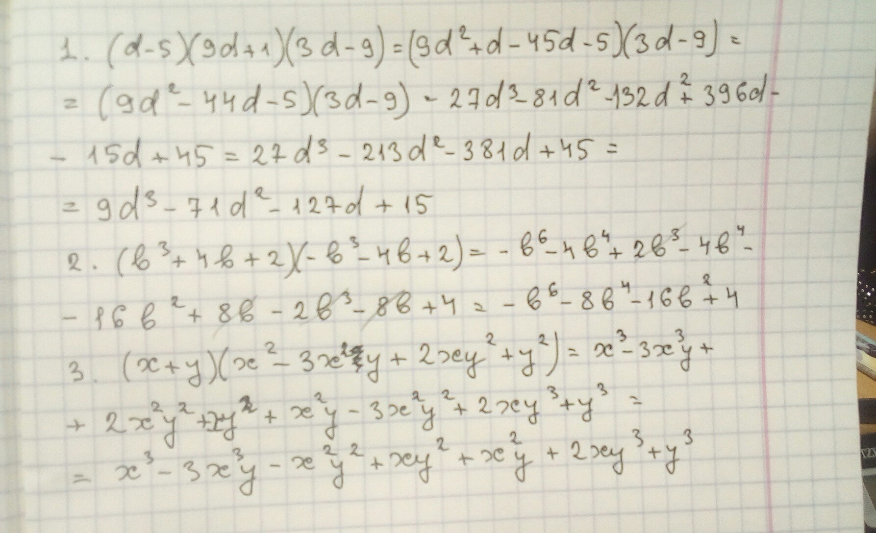
1. (d − 5)(9d + 1)(3d − 9)
2. (b3 + 4b + 2)(-b3 - 4b + 2)
3. (x + y)(x2 - 3x2y + 2xy2 + y2)
Ответы
Ответ дал:
0
решение на фото.............
Приложения:

Ответ дал:
0
такой же, только знаки перед 381 и 127 поменяй
Ответ дал:
0
Спасибо
Ответ дал:
0
Привет, а не подскажешь что мне тут нужно переделать? https://prnt.sc/h3u13i
Ответ дал:
0
просто добавить букву ?
Ответ дал:
0
не поняла, чем ещё могу помочь
Вас заинтересует
2 года назад
2 года назад
3 года назад
3 года назад
9 лет назад
10 лет назад
10 лет назад