ПОМОГИТЕ ПОЖАЛУЙСТА!!!
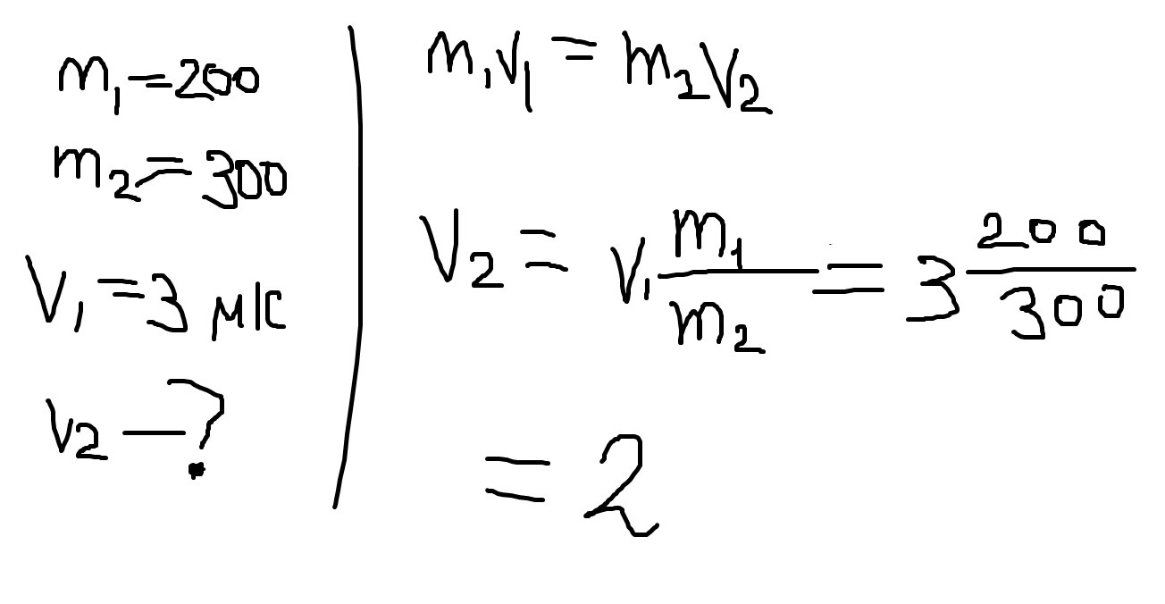
Два тела массами 200 г. и 300 г двигались навстречу друг другу и после удара остановились. Какова скорость тела большей массы, если другое тело двигалось со скоростью 3 м/с ?
Ответы
Ответ дал:
0
соре что криво. но в целом понятно
Приложения:

Вас заинтересует
2 года назад
2 года назад
3 года назад
3 года назад
9 лет назад
9 лет назад
10 лет назад