• Предмет: Математика
  • Автор: lkwrk
  • Вопрос задан 9 лет назад

Помогите, пожалуйста, с логарифмами, очень срочно!
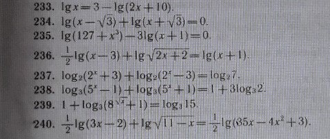
номера 201, 201, 203, 209, 233 по 240
♥ Сделайте сколько сможете! 

Приложения:

Ответа на этот вопрос пока нет. Попробуйте найти его через форму поиска.

Вас заинтересует