Ответы
Ответ дал:
0
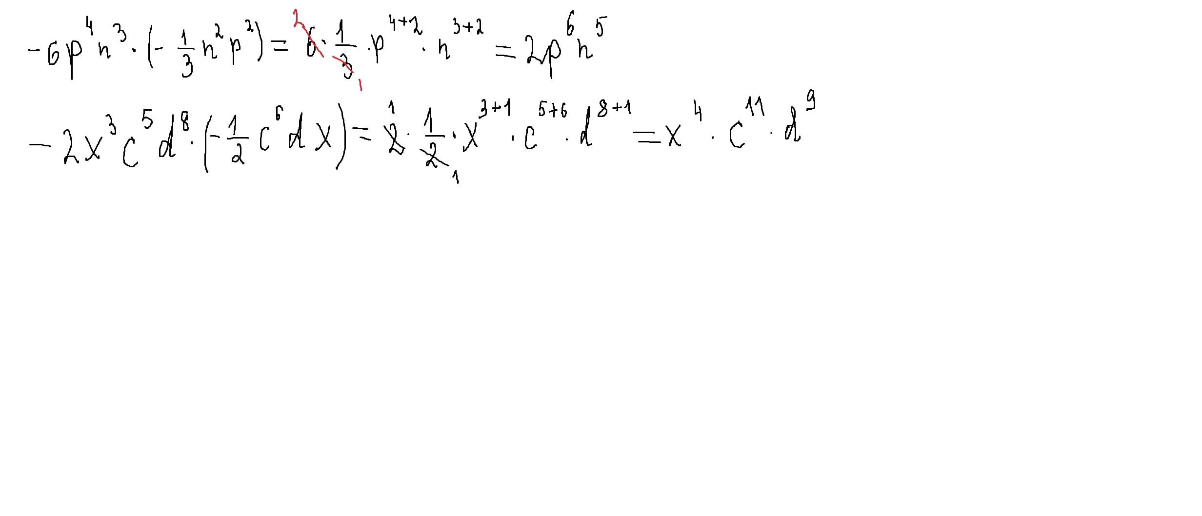
смотри решение внизу
Приложения:

Ответ дал:
0
Спасибол
Ответ дал:
0
пожалуйста.
Вас заинтересует
2 года назад
2 года назад
3 года назад
3 года назад
9 лет назад
9 лет назад
10 лет назад
10 лет назад