• Предмет: Математика
  • Автор: crmss
  • Вопрос задан 9 лет назад

Математика, 11 класс

Приложения:

Ответы

Ответ дал: nonzero
0
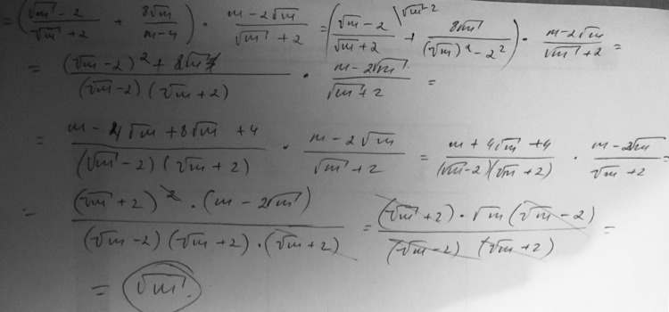
Прилагаю фото с решением
Приложения:
Ответ дал: IrkaShevko
0
( frac{ sqrt{m}-2 }{ sqrt{m}+2 }+ frac{8 sqrt{m} }{(sqrt{m}+2)(sqrt{m}-2)}  )* frac{sqrt{m}(sqrt{m}-2)}{sqrt{m}+2} =\
=( frac{ (sqrt{m}-2)^2 }{( sqrt{m}+2)(sqrt{m}-2) }+ frac{8 sqrt{m} }{(sqrt{m}+2)(sqrt{m}-2)}  )* frac{sqrt{m}(sqrt{m}-2)}{sqrt{m}+2} =\
= frac{m-4 sqrt{m}+4+8 sqrt{m}  }{(sqrt{m}+2)(sqrt{m}-2)} * frac{sqrt{m}(sqrt{m}-2)}{sqrt{m}+2} == frac{m+4 sqrt{m}+4 }{sqrt{m}+2} * frac{sqrt{m}}{sqrt{m}+2} = frac{sqrt{m}(sqrt{m}+2)^2}{(sqrt{m}+2)^2} =\
=sqrt{m}
Приложения:
Вас заинтересует