Ответы
Ответ дал:
0
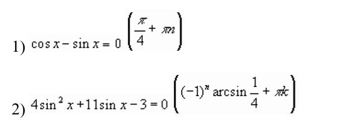
1) Cosx - Sinx = 0
Cosx/Cosx - Sinx/Cosx = 0 Cosx ≠ 0
1 - tgx = 0
tgx = 1
x = arctg1 + πn, n ∈ z
2) 4Sin²x + 11Sinx - 3= 0
Sinx = a, a ∈ [- 1; 1]
4a² + 11a - 3 = 0
D = 11² - 4*4*(-3) = 121 + 48= 169
a₁₂ =( - 11 + - √169)/8 = (- 11 + - 13)/8
a₁ = (- 11 + 13)/8 = 1/4 a₂ =(- 11 - 13)/8= - 3- не подходит
Sinx = 1/4
x = (- 1)ⁿarcSin1/4 + πn, n ∈ z
Cosx/Cosx - Sinx/Cosx = 0 Cosx ≠ 0
1 - tgx = 0
tgx = 1
x = arctg1 + πn, n ∈ z
2) 4Sin²x + 11Sinx - 3= 0
Sinx = a, a ∈ [- 1; 1]
4a² + 11a - 3 = 0
D = 11² - 4*4*(-3) = 121 + 48= 169
a₁₂ =( - 11 + - √169)/8 = (- 11 + - 13)/8
a₁ = (- 11 + 13)/8 = 1/4 a₂ =(- 11 - 13)/8= - 3- не подходит
Sinx = 1/4
x = (- 1)ⁿarcSin1/4 + πn, n ∈ z
Вас заинтересует
2 года назад
3 года назад
3 года назад
9 лет назад