• Предмет: Алгебра
  • Автор: marusya13catoyog7r
  • Вопрос задан 9 лет назад

Помогите пожалуйста (

Приложения:

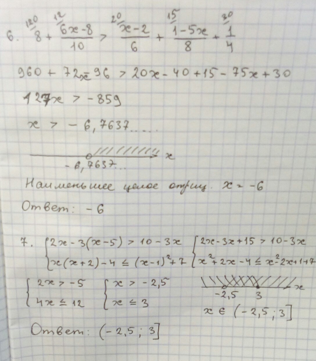
Ответы

Ответ дал: ВикаВикторовна
0
решение на фото............
Приложения:
Вас заинтересует