• Предмет: Алгебра
  • Автор: нСаня11111111111
  • Вопрос задан 9 лет назад

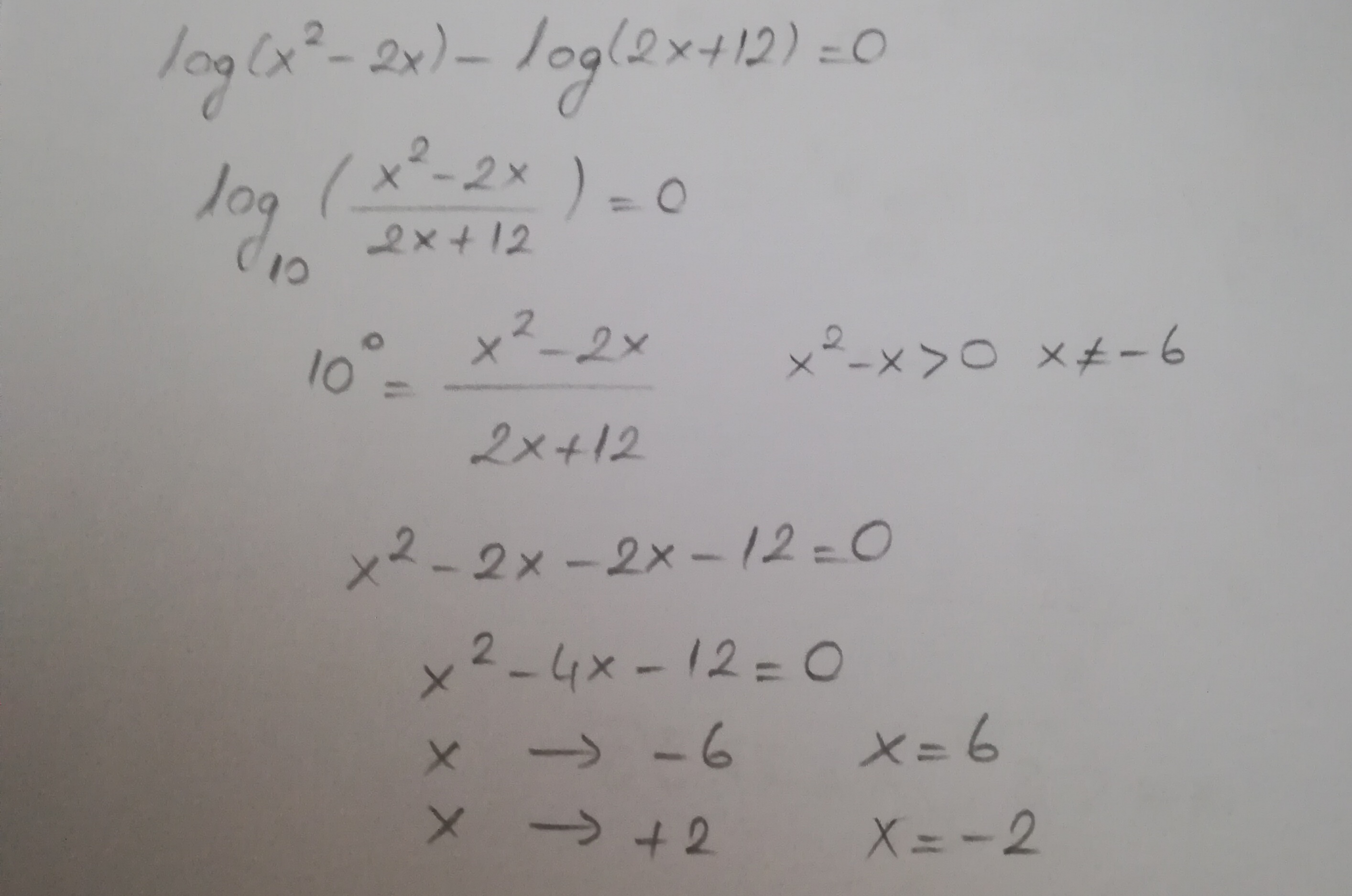
розвяжіть рівняння lg(x^2-2x)=lg(2x +12)

Ответы

Ответ дал: Solнышко
0
x^2 -2x = 2x +12
x^2 -2x -2x -12 = 0
x^2 -4x -12 =0

D =(-4)^2 - 4·1·(-12) = 16 + 48 = 64

x1 = (4 - √64)/2·1 =  -2

x2 = (4 + √64)2·1 =  6


Ответ дал: Аноним
0
I hope this helps you
Приложения:
Вас заинтересует