• Предмет: Алгебра
  • Автор: нСаня11111111111
  • Вопрос задан 9 лет назад

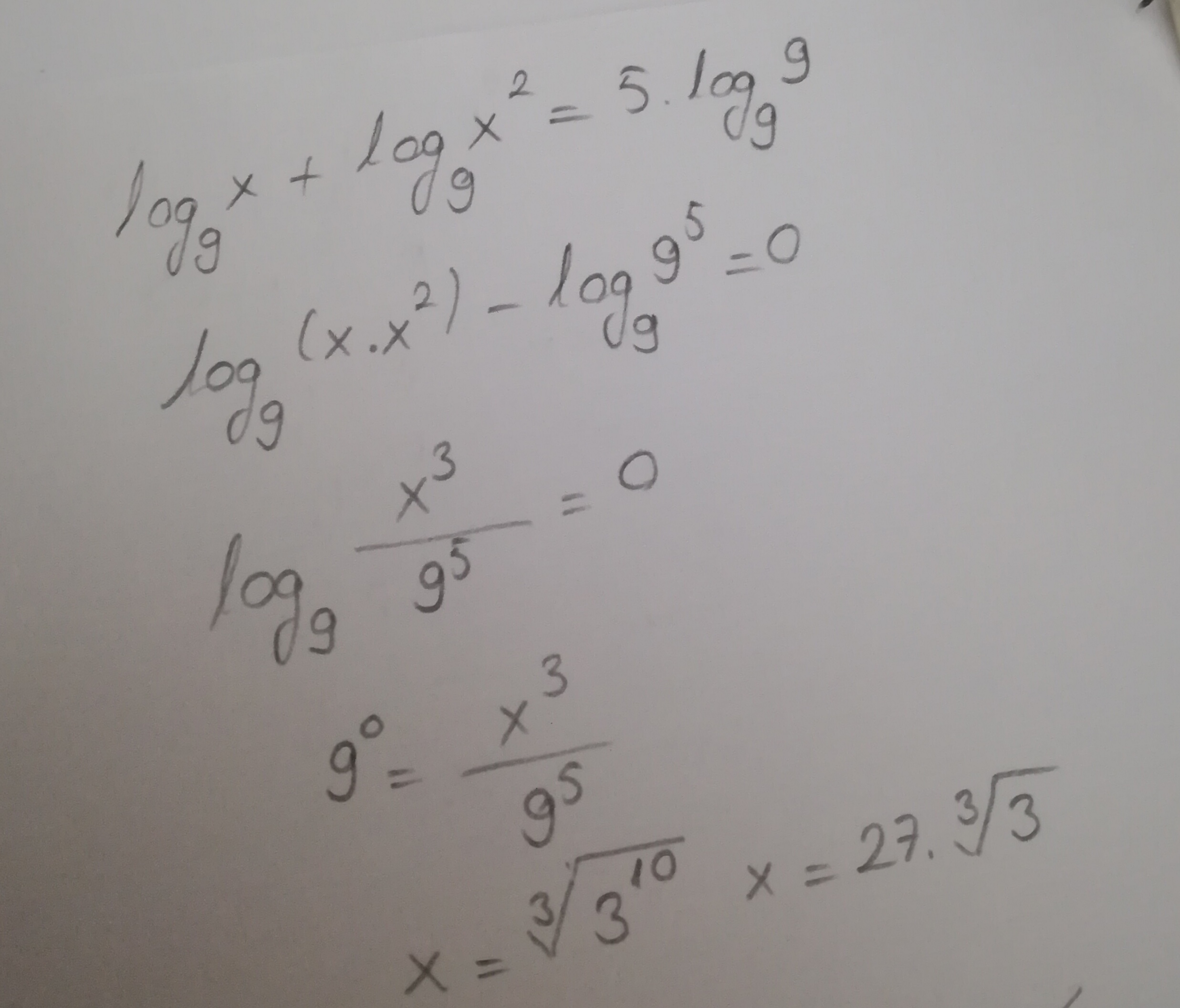
розвяжіть рівняння log9x+2log9x=5

Ответы

Ответ дал: Аноним
0
I hope this helps you
Приложения:
Вас заинтересует