• Предмет: Математика
  • Автор: rtynmnh
  • Вопрос задан 9 лет назад

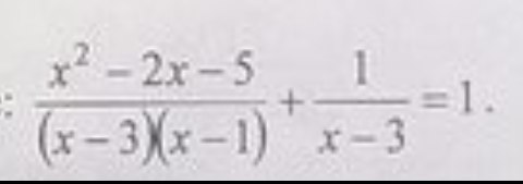
Помогите решить уравнение

Приложения:

Ответы

Ответ дал: Evgenia4836
0
Кажется там должно быть ещё начало.
Приложения:
Вас заинтересует