Ответы
Ответ дал:
0
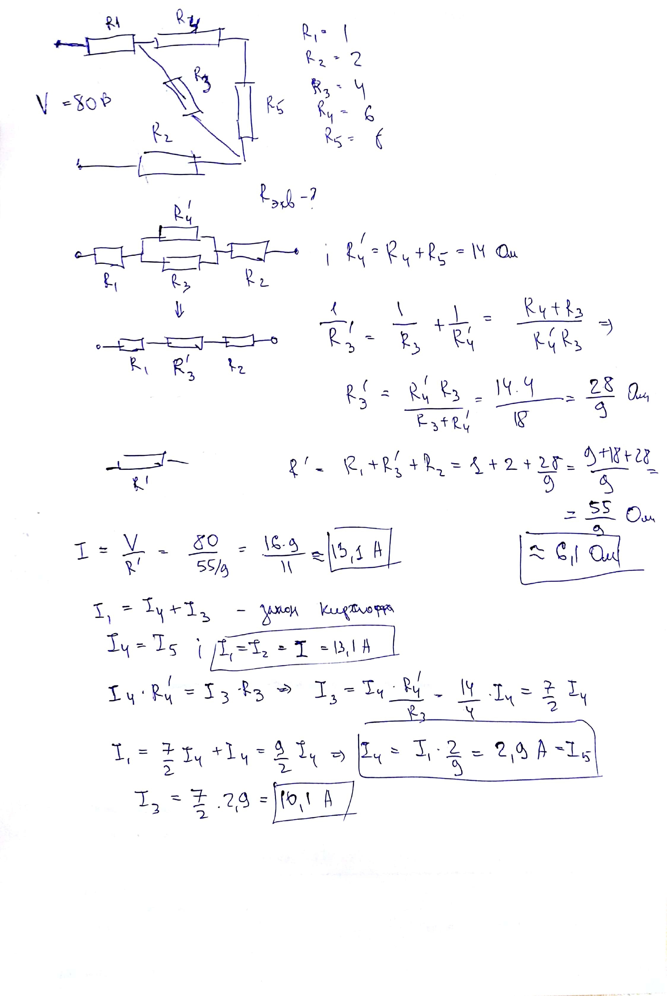
Для решения нужно знать как находится эффективное сопротивление при последовательном и параллельном подключении, законы Кирхгофа, закон Ома
Приложения:

Вас заинтересует
2 года назад
2 года назад
3 года назад
3 года назад
9 лет назад
10 лет назад