• Предмет: Математика
  • Автор: JoJo320
  • Вопрос задан 9 лет назад

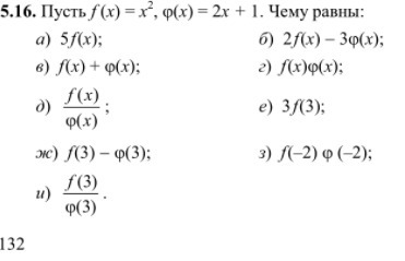
Помогите решить задание

Приложения:

Ответа на этот вопрос пока нет. Попробуйте найти его через форму поиска.

Вас заинтересует