• Предмет: Математика
  • Автор: lenababkina200
  • Вопрос задан 9 лет назад

Помогите решить пожалуйста

Приложения:

Ответы

Ответ дал: zinaidazina
0
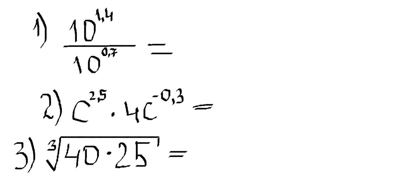
 frac{ 10^{1,4} }{ 10^{0,7} } = 10^{1,4-0,7} = 10^{0,7}  

 c^{2.5}* c^{-0,3} = c^{2,5+(-0,3)}= c^{2,2}    

 sqrt[3]{40*25} = sqrt[3]{8*5*25}= sqrt[3]{ 2^{3}* 5^{3}  } =2*5=10

а можно так

∛40 * ∛25=∛(40*25) = ∛1000 = ∛10³ = 10
Ответ дал: lenababkina200
0
спасибо огромное ♥
Ответ дал: zinaidazina
0
пожалуйста
Вас заинтересует