• Предмет: Алгебра
  • Автор: zombikot99
  • Вопрос задан 9 лет назад

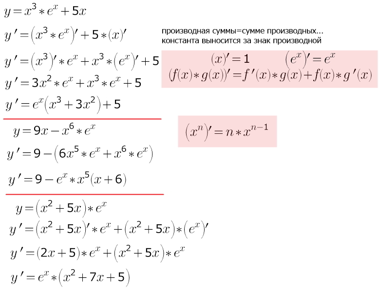
Помогите с этими тоже. Буду очень благодарна

Приложения:

Ответы

Ответ дал: LFP
0
------------------------------------
Приложения:
Вас заинтересует