какой путь пройдут сани массой 20 кг за 10 с движения при силе тяги 12H и коэффициенте трения полозьев о снег 0.05?
Ответы
Ответ дал:
0
A=F*S*cos альфа
В данном случае альфа равен 1
A=Fтяж.+Fтр.=mg+мюmg
A=20*10+0.05*20*10=210 Дж
Тогда выражаем S: S=A/F
S=210/12=17,5 м
Ответ: S=17,5 м.
В данном случае альфа равен 1
A=Fтяж.+Fтр.=mg+мюmg
A=20*10+0.05*20*10=210 Дж
Тогда выражаем S: S=A/F
S=210/12=17,5 м
Ответ: S=17,5 м.
Ответ дал:
0
Да, прошу прощения((
Ответ дал:
0
что не так?
Ответ дал:
0
фигню написал. У Троцкого правильно.
Ответ дал:
0
ееее
Ответ дал:
0
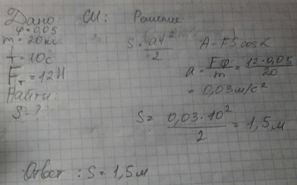
ответ:s=1.5м
s=at^2/2
a=Fcos a /m
=>s=1.5 м
s=at^2/2
a=Fcos a /m
=>s=1.5 м
Приложения:

Вас заинтересует
2 года назад
3 года назад
3 года назад
9 лет назад
9 лет назад
10 лет назад