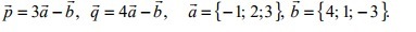
Найти скалярное произведение вектора pq, угол между векторами p и q и проекцию вектора p на вектор q, если:
Приложения:

Ответы
Ответ дал:
0
Ответы и решение на фото
Приложения:

Вас заинтересует
2 года назад
3 года назад
9 лет назад
10 лет назад
10 лет назад