Ответы
Ответ дал:
0
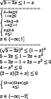
Вот, смотри ответ в картинке. Всё легко и понятно.
Приложения:

Вас заинтересует
2 года назад
2 года назад
3 года назад
3 года назад
9 лет назад
10 лет назад
10 лет назад